TDİ, liman hizmet tarifelerini güncelledi
Türkiye Denizcilik İşletmeleri, Sarayburnu, Kuruçeşme ve Karaköy başta olmak üzere işlettiği limanlardaki yeni hizmet bedellerini duyurdu.
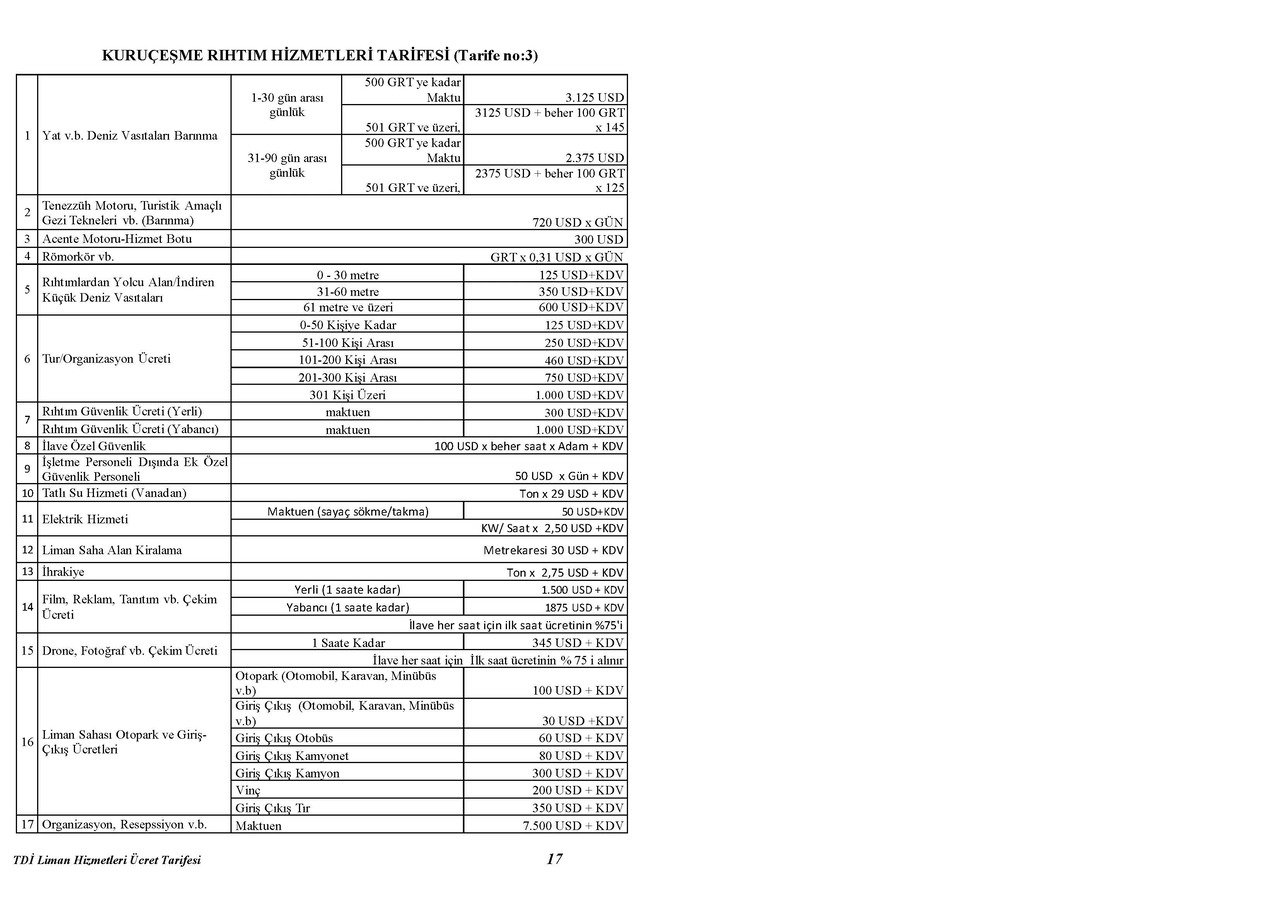
Türkiye Denizcilik İşletmeleri (TDİ), işletmesinde bulunan Sarayburnu Limanı, Kuruçeşme Limanı, Kabatepe ve Kuzu limanlarıyla Karaköy Rıhtım hizmetleri tarifelerini yeniledi. TDİ Limanlar Dairesi Başkanlığı tarafından ilgili kurumlara gönderilen yazıya göre, 1 Ocak 2026’dan geçerli olmak üzere, yeni ücretlendirme şu şekilde:













Türkçe karakter kullanılmayan ve büyük harflerle yazılmış yorumlar onaylanmamaktadır.